티스토리 뷰
목차
안녕하세요! 경제와 금융에 관심 있는 여러분들, 혹시 "주식 가격은 어떻게 정해지는 걸까?", "채권은 도대체 뭐지?" 하고 궁금했던 적 있으신가요? 오늘은 재무 관리의 개념인 주식과 채권의 가치 평가에 대해 정리해 보겠습니다.

1. 주식의 가치는 어떻게 정해질까요? (주식 평가 모형)
주식은 회사의 주인이 되는 증서라고 생각하면 쉽습니다. 주식의 가치는 결국 그 회사가 앞으로 얼마나 돈을 벌고, 그 돈을 우리에게 얼마나 나눠줄지에 따라 달라집니다. 그것을 기본으로, 주식가치를 평가하는 몇 가지 방법을 알아보겠습니다.
1-1. 배당금으로 계산하기 (배당 평가 모형)
가장 쉬운 방법은 회사가 주주들에게 나눠주는 배당금을 기준으로 삼는 것입니다.
- 제로 성장 모형: 만약 어떤 회사가 매년 똑같은 금액의 배당금을 영원히 준다고 가정해 보겠습니다. 이건 마치 매년 정해진 용돈을 평생 받는 것과 비슷합니다.

여기서 [요구 수익률(K)]은 투자자가 이 주식을 사기 위해 최소한으로 기대하는 수익률을 말합니다.
- 항상 성장 모형: 대부분의 회사는 성장하겠죠? 배당금도 매년 일정한 비율(g)로 늘어날 거라고 가정할 때 이 공식을 사용합니다.

이 공식은 회사가 성장할수록 주식 가치가 높아진다는 것을 보여줍니다.
1-2. 이익과 성장 기회로 계산하기 (이익 평가 모형)
회사가 번 돈을 모두 배당하지는 않습니다. 일부는 회사에 남겨서 새로운 사업에 투자하기도 하죠. 이렇게 남겨진 이익도 결국 회사의 성장을 이끌어 주가를 올리는 데 기여합니다. 그래서 배당금뿐만 아니라 [주당 순이익(EPS)]을 사용해 주가를 평가하기도 합니다.
- 성장 기회 모형: 이 방법은 주식의 가치를 두 부분으로 나눠서 봅니다.

NPVGO는 "성장 기회의 순 현재 가치"라는 뜻으로, 쉽게 말해 "새로운 투자를 통해 미래에 얻을 수 있는 이익의 현재 가치"를 의미합니다.
3. 주식과 채권은 어떻게 다를까요?
주식과 채권은 기업이 자금을 마련하는 데 사용하는 중요한 방법이지만, 서로 성격이 완전히 다릅니다. 주식은 회사의 주인이 되는 것이고, 채권은 회사에 돈을 빌려주는 것이라고 생각하면 이해하기 쉽습니다.

4. 채권의 가치는 어떻게 정해질까요? (채권 평가)
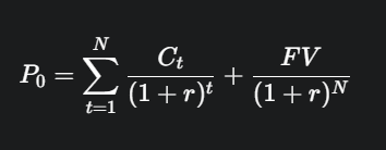
채권은 빌려준 돈을 언제까지 돌려받을지, 이자는 얼마나 받을지 등이 정해져 있는 증서입니다. 따라서 채권의 가치는 미래에 받을 이자와 원금을 현재 가치로 계산해서 구합니다.
채권의가치(P0)=(미래이자들의현재가치합)+(만기원금의현재가치)
이것을 공식으로 나타내면 다음과 같습니다.

- Ct: 매년 받는 이자
- FV: 만기 때 돌려받을 원금
- N: 만기까지 남은 기간
- r: 시장의 요구 이자율
채권은 왜 싸게 또는 비싸게 팔까요?
채권의 발행 가격은 회사가 약속한 액면 이자율과 시장에서 형성된 시장 금리를 비교하여 결정됩니다.
- 할인 발행: 회사가 약속한 이자율이 시장 금리보다 낮을 때, 투자자를 유치하기 위해 채권을 액면가보다 싸게 발행하는 것입니다.
- 액면 발행: 회사가 약속한 이자율이 시장 금리와 비슷할 때, 액면가와 똑같은 가격으로 발행합니다.
- 할증 발행: 회사가 약속한 이자율이 시장 금리보다 높을 때, 채권을 액면가보다 비싸게 발행합니다.
오늘은 주식 채권 평가부분을 정리해 보았습니다. 내용에서 복잡한 공식보다 그 속에 담긴 원리를 이해하는 것이 중요한 것 같습니다.! 다음에도 재미있는 경제 이야기로 정리해 보겠습니다. 👋
[ 함께 보면 좋은 내용]
주식 투자의 첫걸음: 가치 평가를 위한 용어 15가지 가이드
주식 투자의 첫걸음: 가치 평가를 위한 용어 15가지 가이드
안녕하세요. 주식 투자를 처음 시작하는 분들을 위해, 주식 시장에서 사용하는 용어를 해설해 드리려고 합니다. 주식 시장에서 성공적인 투자를 하려면, PER, PBR 같은 가치 평가 지표와 그 지표를
auri2.com